服务流程
门诊服务流程

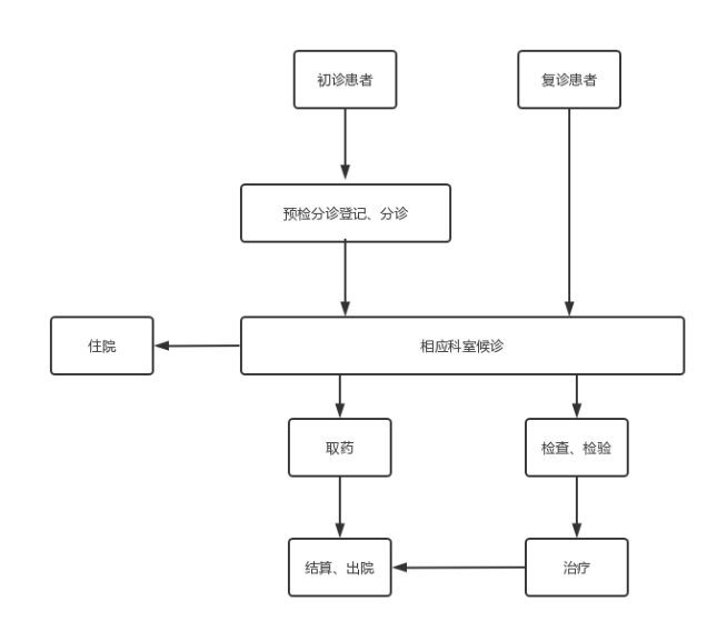
急诊患者就诊流程

住院流程
入院办理
(一)普通病人
病人持电子(纸质)入院证、医保卡、身份证至出入院管理科窗口缴纳入院押金以及医保登记等手续办理入院(低保和特困人员免收住院押金,工伤医疗绿色通道合作单位人员可凭单位介绍信免收住院押金)。
(二)急诊以及危重病人
急诊病人持有医生开具勾选“急诊”字样的电子(纸质)入院证;危急重病人持有入院科室盖有急诊双章电子(纸质)入院证直接办理;
预缴金交费
预缴金可使用现金、微信、支付宝、银行卡四种方式缴费,续交除上述四种方式外还可关注我院微信公众号进行线上缴费(缴费比例:居民按照1:2;职工医保按照1:4)
出院结算
(一)全费病人
病人持有医生开具的出院记录至出入院管理科窗口办理出院手续;
(二)医保病人(普通居民医保门槛费:700;职工医保门槛费:900;低保和特困人员免收门槛费)
1.普通出院
患者持有出院记录、医保卡、身份证至出入院管理科窗口办理出院手续;
2.单病种
单病种患者免收门槛费,患者持有出院记录、单病种审批单(医生填好治疗病种以及治疗方式医保代码,金额以及自付比例)、医保卡、身份证至出入院管理科窗口办理出院手续;
3.多疗程化疗
多疗程患者一个自然年度只收取一次门槛费,患者持有医生开具勾选多疗程出院记录、医保卡、身份证至出入院管理科窗口办理出院手续;
4.日间手术
日间手术患者门诊费用可以划入住院系统,出院患者需要持有就诊卡、身份证、医保卡至出入院管理科窗口办理出院手续(职工医保病人门诊费用在自助机医技扣费从医保卡余额直接扣除的,需要打印住院记账单前往门诊结算窗口退门诊费用);
5.异地患者
异地患者需要出院结算前在参保地医保部门进行异地备案,出院患者需要持有电子医保凭证、身份证至出入院管理科窗口办理出院手续;
6.外伤患者
外伤患者(仅限于市直、金安、裕安)需要到所归属的医保中心进行外伤鉴定审核,出院患者持有出院记录、外伤审批单、医保卡、身份证至出入院管理科窗口办理出院手续,其它县区以及异地回参保中心报销;
7.生育类医保
市直单位带生育保险审批单在院报销,金安、裕安职工医保以及异地回参保地医保中心报销;居民医保须出示生育证和出生证;
8.离休医保
离休患者(仅限于市直和金安裕安)持有出院记录,医保卡、身份证至出入院管理科窗口办理出院手续,其它县区以及异地回参保中心报销。
皖公网安备 34152602000010号